Reza Naghash's Photo

Reza Naghash

Power Electronics Hardware Engineer


Project Researcher at the FREESI-lab (Future Reliable Electricity & Energy System Integration laboratory), Vaasa Energy Business Innovation Centre (VEBIC), University of Vaasa


In short, I stabilize control loops in power electronics, implement digital control systems, and prototype power converters.

Skills

Power Converters Design and Prototpying
Control Systems Design and Implementation (SW/FW/HW)
Analog/Digital Circuit Design & Analysis
C, C++, Verilog, MATLAB, Python, Assembly language
Embedded Systems, MCU, DSP, FPGA
Hardware-in-the-Loop Simulation
Electrodynamics, Finite Element Analysis
EMI/EMC Analysis
PCB Design
Applied Mathematics, Machine Learning

Expertise Highlights

  • Power Electronics Converters
    I have experience of having worked on various type of power converters, such as buck, boost, buck-boost, flyback, half-bridge, full-bridge, push-pull, single-phase and 3-phase inverters, multi-level topologies, and matrix converters. I have also worked on LLC resonant converters and synchronous rectifiers for high-efficiency power supplies. In power converters, my concentration is on control systems, converter topologies, and magnetics design. Furthermore, I have done comprehensive analyses on the steady-state operation and small-signal modelling of power converters. Currently, my work in this field is on utilizing high electron mobility transistors in multi-level converters and interleaved topologies to achieve higher power densities in power converters. In addition, I am also researching conducted and radiated electromagnetic interference analysis and reduction in power converters.
    first service
  • second service
    Control Theory
    Providing desired control signals to drive a converter is a vital part in desiging and prototyping power electronics converters. I have designed and implemented numerous control systems and controllers. Also, I have the experience of implementing various modulation techniques for power converters. As we are living in a sea of uncertainties, and power converters are no exceptions, I have focused on uncertainties of power converters, and worked toward robust control systems. The main methods that I focused on, are Quantitative Feedback Theory (QFT) and H-infinity. Besides, I also have the knowledge of non-linear control systems, including geometric control and predictive control. Furthermore, I am researching digital active EMI filter to propose integrated digital control and EMI filter for power converters. During recent years, I am constantly enhancing my insight into control theory, and have kept my knowledge updated in this marvellous field.
  • Embedded Systems, Digital Control, HIL Simulations
    My first experimental experience in the digital world started with 8-bits microcontrollers to implement digital circuits in 2014, which arises from the intersection of my deep interest in programming and hardware design. This interest motivates me to learn and work on embedded systems in power electronics applications. My experience in embedded systems includes Microcontroller (MCU), digital signal processor (DSP), and field programmable gate array (FPGA). I have the knowledge of their architecture, I/O ports, timers, input captures, output compares, ADC, interrupts, DSP engine, and DMA. Also, I have the experience of performing Hardware-in-the-loop (HiL) simulations for rapid control prototpying. I am actively working on Power HiL (PHiL) testing to validate the performance of complex digital control and energy management systems in power converters, and the operation of power converters as well. These skills make me able to implement advanced digital control systems in power electronics.
    first service
  • Electrodynamics
    Electrodynamic of electric and magnetic fields is on of the most forerunner phenomena in energy and power systems. Magnetic components such as inductors and transformers are inseparable parts of power electronics and need deep and broad consideration in both designing and prototyping procedure, especially for high power density converters. I have the experience of designing, selecting, and prototyping inductors, transformers, and inductive coils, with solid/litz/foil/PCB conductors. Furthermore, electromagnetic interference that is produced by switching power converters, high frequency devices, and their PCB and parasitic elements can cause several problems. I have worked on EMI/EMC modeling, analysis, and reduction in power converters. In addition, I have performed simulations and practical tests for EMC compliance. In this regard, I have increased my understanding of electrodynamics. I have also done rigorous finite element analysis in electrodynamics problems. Researching integrated magnetics design for power converters and shielding techniques for high-frequency WPT coils, and signal and power integrity issues are my interests in this field.
    second service
  • Applied Mathematics
    Mathematics is my first serious interest in pursuing knowledge. I am frequently studying "Calculus", "Linear Algebra", "Differential Equations", "Numerical Analysis", and "Statistics & Probability". Recently, I started to study Machine Learning (ML), for optimization purposes in power electronics applications and embedded ML systems.

    first service

Featured Projects

  • Developing Down-scaled Onboard Microgrids
    In my recent experimental work, I am developing a down-scaled microgrid integrating energy storage systems, bidirectional DC-DC and DC-AC converters, and a grid emulator. The power management system enables flexible operation, allowing each converter to adopt different control strategies based on specific scenarios. The DC-AC converter can switch between grid-following and grid-forming modes, while the DC-DC converters can operate in either voltage-mode or current-mode control. Additionally, I am implementing advanced control methods, including various model predictive control techniques, to compare their performance against conventional control systems, analyzing their effectiveness in this setup.
    first service
  • Hardware-in-the-Loop Testing of Onboard Microgrids
    In this project, I conducted a comprehensive analysis to evaluate the performance of conventional and advanced control systems for onboard microgrids. The work involved detailed modeling of energy storage units in a real-time simulator, implementation of advanced control methods, development of a power management system, and design of modular multi-level converters. I performed Controller Hardware-in-the-Loop (CHIL) and Power Hardware-in-the-Loop (PHIL) testing to validate the proposed power converters and their control systems. Additionally, I developed a HIL SCADA system to monitor and analyze real-world use cases in shipboard microgrid applications, ensuring robust and efficient performance.
    first service
  • Low Noise Drives for Household Appliances
    This project focuses on designing brushless DC (BLDC) and switched-reluctance (SR) motor drivers for home appliances, emphasizing low-noise operation, EMI reduction, and optimized PCB design. I explored the principles and optimal design methodologies for these motor drivers, prioritizing efficient and cost-effective solutions to meet the competitive demands of the home appliance market. A comprehensive comparison of electromagnetic and electronic performance was conducted to validate motor driver functionality. Additionally, a cost analysis was performed to establish a benchmark for engineers, guiding the design and manufacturing process toward cost-efficient and high-performance solutions.
    first service
  • Control System Design in Wireless Power Transfer
    In my research on wireless power transfer (WPT) systems, I focused on developing robust control strategies to address load and data communication uncertainties. I designed a Quantitative Feedback Theory (QFT)-based control system, incorporating a feedback compensator and prefilter, to meet stringent stability, tracking, and performance requirements. The effectiveness of this QFT-based approach was validated through simulations and experimental tests, with performance compared against H∞ and Skogestad Internal Model Control (SIMC) methods. As QFT relies on accurate modeling, I also developed small-signal transfer function models for WPT systems to support the control design process.
    first service
  • PCB Coil Design for High Frequency WPT Systems
    Increasing the operating frequency of wireless power transfer (WPT) systems exacerbates skin and proximity effects, impacting system performance. Designing optimized coils that achieve a high coupling factor and required mutual inductance while adhering to electrodynamics principles presents a significant challenge. In this work, I developed a methodology to design and optimize coils, considering coupling factor, self-inductance, coil quality factor, and system efficiency. Comprehensive finite element method (FEM) simulations were conducted to analyze the best-performing designs. To further enhance WPT system performance, I applied passive and active shielding techniques to the optimized designs.
    second service
  • High Step-up DC-AC Converter
    In this project, I designed and implemented a two-stage DC-AC converter comprising a DC-DC push-pull converter with current-mode control and a single-phase inverter utilizing sinusoidal pulse-width modulation (PWM). In the first stage, a 24 VDC input is boosted to a 400 VDC bus, which is then inverted to 220 VAC to power single-phase AC loads. Current-mode control in the push-pull converter mitigates unbalancing and saturation issues, with an external reference ramp ensuring system stability. A 2 kW prototype was constructed to validate the design and demonstrate the system’s performance
    first service
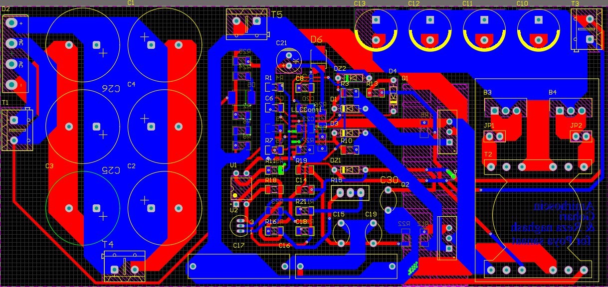
  • High Efficiency LLC Converter
    In this project, I developed an optimized LLC converter with an integrated magnetics transformer to achieve high efficiency and power density. A small-signal model was derived, and a variable-frequency controller was designed to maintain optimal efficiency across light-load and full-load conditions. A 400 W prototype was built to validate the design and control system performance.
    first service
  • Real-time Calculation of Coupling Factor in WPT systems
    In this project, I developed a novel method to calculate the coupling factor of a wireless power transfer (WPT) system by sensing the primary current. This approach leverages higher harmonics of the sensed current to minimize the capacitive component of the impedance network, thereby enhancing the inductive component. As a result, the sensed current provides a more accurate representation of the circuit’s inductance, enabling precise calculation of the coupling factor. These parameters can be utilized for control systems or monitoring purposes. A digital signal processor (DSP) was employed for real-time coupling factor computation, performing fast Fourier transform (FFT) analysis. The DSP results were validated by comparing them with FFT measurements obtained from an oscilloscope
    first service
  • Wirelessly Powered Implantable Medical Devices
    This study aims to develop a universal design approach for high-frequency wireless power transfer (WPT) systems tailored for biomedical applications. The research focuses on numerical calculations of inductive links, accounting for the electromagnetic properties of body tissues. A precise WPT system model was validated by aligning theoretical calculations with finite element analysis (FEA). Extensive FEA was conducted to evaluate the impact of transmission media on the electrodynamics of WPT systems in biomedical devices, ensuring robust and efficient design solutions.
    second service
  • A Novel High Step-up DC-DC Converter
    In this project, a novel high step-up DC-DC converter featuring high voltage gain, continuous input current, and a simplified control system is proposed. Unlike conventional designs, this topology achieves a high voltage transfer ratio without relying on coupled inductors or transformers. The continuous input current makes it well-suited for renewable energy applications. Additionally, simultaneous gate pulses for both switches enable a straightforward control strategy. A 400 W prototype was developed to validate the converter’s performance and operational efficiency.
    first service

Interests

Power Converters, Control Theory, Modulation Schemes Digital Signal Processing, Embedded Systems, Hardware-in-the-loop Testing Microgrids, Modern Power Systems, Power Conversion Control, Drives